Matematikai mód, többsoros képlet, ALIGN
A preambulumba be kell írni
\usepackage{amsmath}
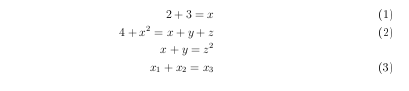
Többsoros képlet írása ALIGN környezetben
\begin{align}
2+3=x \\
4+x^2=x+y+z \\
x+y=z^2 \nonumber \\
x_1+x_2=x_3
\end{align}
módon lehetséges. Ez esetben minden sor középre van igazítva és számozva lesz, kivéve a 3. sort.

Amennyiben a sorokat "=" jelnél szeretnénk egymás alá rendezni, akkor a
\begin{align}
2+3&=x \\
4+x^2&=x+y+z \\
x+y&=z^2 \nonumber \\
x_1+x_2&=x_3
\end{align}
módon tehetjük meg. Az igazítási pont a "&" jelnél van.
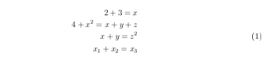
Ha nem akarunk soszámoztatni, akkor a
\begin{align*}
2+3=x \\
4+x^2=x+y+z \\
x+y=z^2 \tag 1 \\
x_1+x_2=x_3
\end{align*}
módon tehetjük ezt meg. Ekkor egyik sor sem kap sorszámot, kivéve a 3. sort.

Természetesen itt is alkalmazhatjuk az "&" jelet igazításra.
















